Lompat ke konten Lompat ke sidebar Lompat ke footer

Understanding Jawaban Soal Ipa Kelas 9 Halaman 241


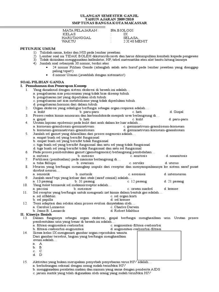
Soal Ipa Biologi Kelas 9 Dan Jawaban Giat Belajar
Understanding Jawaban Soal Ipa Kelas 9 Halaman 241

Understanding Jawaban Soal IPA Kelas 9 Halaman 241

What is Jawaban Soal IPA Kelas 9 Halaman 241?

Jawaban Soal IPA Kelas 9 Halaman 241 is a set of questions related to science and its application in the real world. It is aimed at helping students of class 9 to understand and learn the concepts of science. The questions are designed to challenge the students and help them develop a better understanding of the topics covered.

What are the Topics Covered in Jawaban Soal IPA Kelas 9 Halaman 241?

The topics covered in Jawaban Soal IPA Kelas 9 Halaman 241 include biology, chemistry, and physics. The questions cover topics such as the structure and function of cells, the properties of matter, the principles of energy transformations, and the basics of physical laws. The questions also include topics on ecology, the environment, and the impact of humans on the environment.

What is the Purpose of Jawaban Soal IPA Kelas 9 Halaman 241?

The purpose of Jawaban Soal IPA Kelas 9 Halaman 241 is to help students understand the concepts of science and gain a better understanding of the topics covered. The questions are designed to challenge the students and help them to think critically and apply the knowledge they learn. In addition, the questions help to establish a foundation for the students to build upon when they move on to more advanced topics.

How are the Questions Structured in Jawaban Soal IPA Kelas 9 Halaman 241?

The questions in Jawaban Soal IPA Kelas 9 Halaman 241 are structured in an organized way with each question focusing on one particular topic. The questions are designed to challenge the student's knowledge and understanding of the topics covered. The questions may include multiple-choice, fill-in-the-blank, and written answers.

What are the Benefits of Jawaban Soal IPA Kelas 9 Halaman 241?

The benefits of Jawaban Soal IPA Kelas 9 Halaman 241 include improved knowledge and understanding of the concepts of science, improved critical thinking skills, and a better understanding of the topics covered. The questions also help to strengthen the student's understanding of the topics and help them to apply their knowledge in the real world.

Who Should Use Jawaban Soal IPA Kelas 9 Halaman 241?

Jawaban Soal IPA Kelas 9 Halaman 241 is designed for students of the ninth grade who are studying science. The questions are designed to challenge the student's knowledge and understanding of the topics covered and help them to think critically and apply their knowledge. The questions can also be used by teachers as part of their lesson plans to help reinforce the topics covered in class.

Conclusion

Jawaban Soal IPA Kelas 9 Halaman 241 is a great resource for students of the ninth grade who are studying science. The questions are designed to challenge the students and help them to think critically and apply the knowledge they learn. The questions are also beneficial for teachers as it helps to reinforce the topics covered in class and helps to develop a better understanding of the topics covered.

Beberapa Gambar Tentang Understanding Jawaban Soal Ipa Kelas 9 Halaman 241


Posting Komentar untuk "Understanding Jawaban Soal Ipa Kelas 9 Halaman 241"